Содержатся основные теоретические сведения о функциях нескольких переменных, их непрерывности, дифференцируемости; кратных, криволинейных и поверхностных интегралах. В приложениях приведены эйлеровы интегралы (бета- и гамма-функции), а также подробно изложена тема "Замена переменных в дифференциальных выражениях". Предложены основные приемы решения типовых задач, которые иллюстрируются подробно разобранными примерами. Представлено большое количество упражнений для самоконтроля, снабженных ответами. Приведены задачи для индивидуальных и контрольных заданий.
Для студентов учреждений высшего образования по математическим, физическим и экономическим специальностям. Может быть полезно преподавателям, аспирантам, магистрантам и студентам естественнонаучных специальностей, а также иностранным студентам, изучающим курс высшей математики. Возможно использование пособия при дистанционном обучении.
Мобильное приложение OZ работает как бонусная карта. Получайте бонусные баллы и повышайте свой кешбэк, совершая покупки в приложении и в розничных магазинах. При оформлении заказа в приложении доставка в выбранный вами магазин бесплатная.
Бонусная программа действует на сайте OZ.by, в приложении и магазинах OZ.
Для установки и корректной работы приложения требуется Android 7 и выше или iOS 14 и выше.
Условия бонусной программы
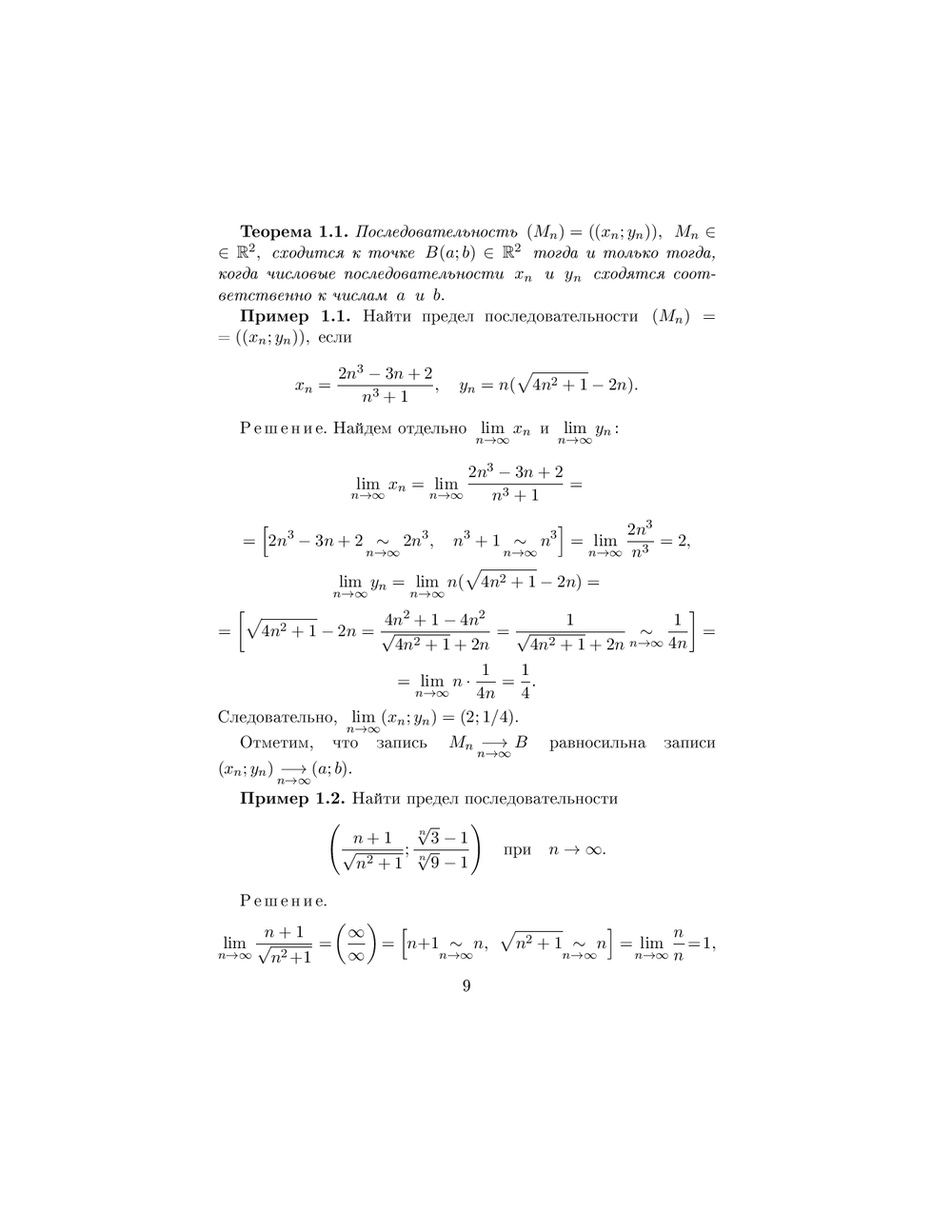
Математический анализ. Функции нескольких переменных. Интегралы. Практикум
Л. Альсевич, С. Красовский, Н. Радыно, 2025
| Издательство | Вышэйшая школа |
| Год издания | 2025 |
| Страниц | 407 |
| Переплет | Твердый переплет |
| Формат (ширина)х(высота) | Стандартный (130–145)×(200–215) |
| ISBN | 978-985-599-990-5 |
| Гриф | Допущено Министерством образования Республики Беларусь |
| Изготовитель | РУП «Издательство "Вышэйшая школа"». Республика Беларусь, г. Минск, 220048, пр. Победителей, 11 |
| Доставка | Самовывоз — бесплатно. Курьером по Минску — 0,00 р., бесплатно при заказе от 100,00 р. Срок доставки устанавливается после оформления заказа. Подробнее о видах доставки, доступных в вашем населенном пункте, — в разделе «Виды доставки». |
|
Все параметры
|
|
Мы используем файлы cookie для обеспечения удобства работы с сайтом и его контакта с пользователем.
Нажимая кнопку «Принять», вы даете согласие на обозначенные действия в соответствии с Политикой в отношении обработки cookie.