- Книги
- Учебная литература
- Красота и здоровье
- Дом, сад, зоотовары
- Картины по номерам
- Канцтовары, школа
- Настольные игры
- Творчество, хобби
- Подарки, аксессуары
- Всё для детей и мам
- Сладости, напитки
-
Магазины OZ
-
Беларусь
-
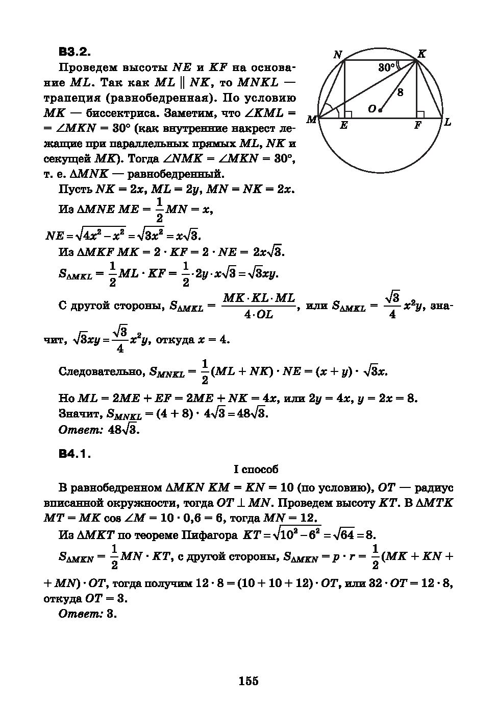
Предлагаемые самостоятельные работы по геометрии на готовых чертежах предназначены для работы в 7-9 классах. Они ориентированы на учебник "Геометрия, 7-9" автора Л.С. Атанасяна и др.
Самостоятельные работы – разноуровневые, они даются к каждой теме учебника, разбиты на две группы: группа "А" (базового уровня) и группа "Б" (профильного уровня).
Каждая работа содержит 4 варианта, по две задачи в каждом.
Преимуществом предлагаемого пособия по сравнению с подобными аналогами является то, что все задачи снабжены чертежами, что даёт возможность сэкономить время на выполнение заданий.
Кроме того, к наиболее трудным задачам приведены подробные решения с пояснениями, что важно при подготовке к ОГЭ и ЕГЭ.
Мобильное приложение OZ работает как бонусная карта. Получайте бонусные баллы и повышайте свой кешбэк, совершая покупки в приложении и в розничных магазинах. При оформлении заказа в приложении доставка в выбранный вами магазин бесплатная.
Бонусная программа действует на сайте OZ.by, в приложении и магазинах OZ.
Для установки и корректной работы приложения требуется Android 7 и выше или iOS 14 и выше.
Условия бонусной программы| Серия | Большая перемена |
| Издательство | Феникс |
| Назначение | Абитуриентам, средняя школа, учителям, школьникам |
| Класс | 7, 8, 9 |
| Страниц | 223 |
| Год издания | 2025 |
| Издание | Второе издание |
| Формат | Увеличенный 170×(215–260) |
| Переплет | Мягкая обложка |
| Бумага | Газетная |
| Иллюстрации | Черно-белые |
| ISBN | 978-5-222-44555-6 |
| Вес | 214 г |
| Возрастные ограничения | 0+ |
| Изготовитель | ЗАО "Издательство "Феникс". 190000, РФ, г. Санкт-Петербург, пер. Антоненко, 2 |
| Импортер | ООО «Приносим радость», 220073, г. Минск, ул. Скрыганова, д. 14, каб. 36. |
| Доставка | Самовывоз — бесплатно.
Подробнее о видах доставки, доступных в вашем населенном пункте, — в разделе «Виды доставки». |
|
Все параметры
|
|
Мы используем файлы cookie для обеспечения удобства работы с сайтом и его контакта с пользователем.
Нажимая кнопку «Принять», вы даете согласие на обозначенные действия в соответствии с Политикой в отношении обработки cookie.
очень нравятся сборники Эдуарда Балаяна. на готовых чертежах легче и доступнее
oz10888252 оставила отзыв и 1 человек ее поддержал