- Книги
- Учебная литература
- Красота и здоровье
- Дом, сад, зоотовары
- Картины по номерам
- Канцтовары, школа
- Настольные игры
- Творчество, хобби
- Подарки, аксессуары
- Всё для детей и мам
- Сладости, напитки
-
Магазины OZ
-
Беларусь
-
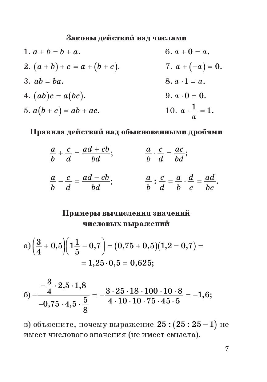
Пособие написано в соответствии с программой по математике для учреждений общего среднего образования. В нём изложен курс алгебры 7 класса в доступной, познавательной и интересной форме. Теория сопровождается примерами и задачами с решениями. К каждой теме предлагаются упражнения трёх уровней сложности и занимательные задачи, в том числе олимпиадного характера, которые в дальнейшем помогут подготовиться к экзаменам и тестам, а также развить математические способности учащихся.
Мобильное приложение OZ работает как бонусная карта. Получайте бонусные баллы и повышайте свой кешбэк, совершая покупки в приложении и в розничных магазинах. При оформлении заказа в приложении доставка в выбранный вами магазин бесплатная.
Бонусная программа действует на сайте OZ.by, в приложении и магазинах OZ.
Для установки и корректной работы приложения требуется Android 7 и выше или iOS 14 и выше.
Условия бонусной программы| Товар из подборки | Подготовка к выпускным экзаменам |
| Издательство | Вышэйшая школа |
| Назначение | Средняя школа, школьникам |
| Класс | 7 |
| Страниц | 333 |
| Год издания | 2023 |
| Формат | Стандартный (130–145)×(200–215) |
| Размер издания | 143х200 мм |
| Переплет | Мягкая обложка |
| Бумага | Офсет |
| Иллюстрации | Черно-белые |
| ISBN | 978-985-06-3495-5 |
| Гриф | Нет |
| Вес | 352 г |
| Возрастные ограничения | 6+ |
| Изготовитель | РУП «Издательство "Вышэйшая школа"». Республика Беларусь, г. Минск, 220048, пр. Победителей, 11 |
| Доставка | Самовывоз — бесплатно.
Подробнее о видах доставки, доступных в вашем населенном пункте, — в разделе «Виды доставки». |
|
Все параметры
|
|
Мы используем файлы cookie для обеспечения удобства работы с сайтом и его контакта с пользователем.
Нажимая кнопку «Принять», вы даете согласие на обозначенные действия в соответствии с Политикой в отношении обработки cookie.